제목1

ARKEMA

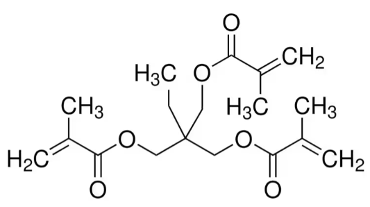
Monomer-SR350 NS

작성자 관리자 날짜 2025-11-10 17:49:16 조회수 111

・제품명

SR350 NS(Trimethylolpropane Trimethacrylate)

・구조식

・CAS No.

3290-92-4

・일반물성

색상(APHA) : 0 ~ 150

중합억제제(ppm) : 30 ~ 70 HQ

점도(cps @ 25 °C) : 30 ~ 60

산가(wt%) : 0 ~ 0.03

수분 함량(wt%) : 0 ~ 0.2

용제(wt%) : 0 ~ 0.1

외관 : 투명한 액체

・제품 성능

내후성

내화학성, 내수성

경도

내마모성

내열성

・용도

UV경화형 접착제, 코팅제, 도료, 잉크 등